Pada halaman ini akan dibahas mengenai Contoh Soal Titik Berat dan Pembahasannya. Semua informasi ini kami rangkum dari berbagai sumber. Semoga memberikan faedah bagi kita semua.
Contoh Soal Titik Berat dan Pembahasanya
1. Terdapat bidang berwarna biru seperti pada gambar di bawah ini. Letak titik koordinat titik berat bidang berwarna biru ini adalah ?
Jawab
Untuk menghitung titik berat pada gambar di atas kita bisa melakukan partisi pada bidang gambar di atas misalnya kita lakukan partisi seperti pada gambar 1 dan gambar 2 di bawah ini kemudian bisa kita tentukan titik berat masing-masing partisi tersebut. Partisi atau pembagian bidang tidak harus seperti contoh di bawah ini yang jelas partisi tersebut kita bisa tahu dingan pasti pusat titik berat partisi dan khusus soal ini kita bisa hitung luas partisi tersebut.
Kita bisa menentukan letak titik berat pada gambar 1 titik beratnya adalah titik p dan bisa kita tentukan letak titik beratnya adalah
Kita bisa menentukan letak titik berat pada gambar 2 titik beratnya adalah titik p dan bisa kita tentukan letak titik beratnya adalah
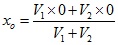
Selanjutnya bisa kita hitung koordinat titik berat soal nomor satu pada sumbu x dengan mengunakan persamaan
Posisi koordinat pada sumbu x adalah
Selanjutnya bisa kita hitung koordinat titik berat soal nomor satu pada sumbu y dengan mengunakan persamaan
Posisi koordinat pada sumbu y adalah
Nilai koordinat titik beratnya adalah
2. Terdapat bidang berwarna kuning seperti gambar di bawah ini, terlihat bidang berwarna kuning yang memiliki lubang berwarna putih lingkaran berdiameter 1cm. Letak titik koordinat titik berat bidang berwarna kuning ini adalah ?
Jawab
Langkah pertama kita bisa tentukan terlebih dahulu pusat titik berat bidang berwarna kuning dengan kita anggap bidangnya masih utuh berupa persegi belum terpotong atau belum terlubangi bentuk lingkaran berwarna putih. pusat titik beratnya adalah
Kemudian kita tentukan titik berat bidang dua yaitu bidang lingkaran berwarna putih yang hilang yaitu
Kemudian kita bisa hitung koor dinat titik berat bidang persegi terpotong lingkaran pada sumbu x seperti pada persamaan di bawah ini
Bidang dua yang merupakan bidang lingkaran yang hilang dalam bidang persegi bertanda negatif karena merupakan unsur yang hilang dari bidang persegi berwarna kuning
Koordinat titik berat pada sumbu x adalah
Dengan cara yang sama kita bisa menentukan koordinat titik berat pada sumbu y
Maka nilai koordinat titik beratnya adalah
3. Terdapat bidang berwarna unggu seperti gambar di bawah ini. Koordinat titik beratnya adalah ?
Jawab
Sama seperti soal nomor 1 untuk lebih mudah kita harus mempartisi dulu bidang soal nomor 3 menjadi dua bagian, bidang yang pertama adalah bidang segi tiga, dan bidang yang kedua adalah bidang persegi panjang, kemudian bisa kita tentukan koordinat masing-masing partisi.
Koordinat bidang segi tiga diatas terletak di titik p yang posisinya sepertiga tinggi dari alas, koordinat titik beratnya adalah
Koordinat titik berat bidang partisi kedua adalah
Koordinat titik berat pada sumbu x adalah
Koordinat titik berat pada sumbu y adalah
Koordinat titik berat bidang pada soal nomor 3 adalah
4. Sebuah benda pejal yang terdiri dari gabungan kerucut pejal dan silinder pejal tersusun seperti pada gambar di bawah ini. Besar jari-jari silinder adalah 2 cm, tinggi kerucut dan silinder adalah 4 cm. Titik berat benda tersebut adalah ?
Jawab
Kita bisa analisa titik berat pada kerucut pejal seperti terdeskripsikan pada gambar di bawah ini. Titik berat untuk kerucut pejal adalah seperempat tinggi kerucut pejal dari alas kerucut
Titik berat kerucut pejal ini adalah
Sedangkan untuk titik berat silinder pejal karena bentuknya yang simetris dan homogen, maka titik berat silinder pejal terletak di tengah-tengah silinder dengan koordinat titik berat silinder adalah
Selanjutnya bisa kita hitung koordinat titik berat pada sumbu x adalah sebagai berikut
Persamaan diatas yang dipakai untuk menghitung nilai koordinat titik berat pada sumbu x sama dengan soal nomor satu, hanya karena pada soal ini kita menghitung benda tiga dimensi maka besaran luas A diganti dengan besaran volume V.
Selanjutnya bisa kita hitung koordinat titik berat pada sumbu y adalah sebagai berikut
Karena besar jari-jari silinder dan kerucut sama
Maka persamaan bisa lebih di sederhanakan menjadi
Koordinat titik berat benda ini adalah
1. Terdapat bidang berwarna biru seperti pada gambar di bawah ini. Letak titik koordinat titik berat bidang berwarna biru ini adalah ?
Jawab
Untuk menghitung titik berat pada gambar di atas kita bisa melakukan partisi pada bidang gambar di atas misalnya kita lakukan partisi seperti pada gambar 1 dan gambar 2 di bawah ini kemudian bisa kita tentukan titik berat masing-masing partisi tersebut. Partisi atau pembagian bidang tidak harus seperti contoh di bawah ini yang jelas partisi tersebut kita bisa tahu dingan pasti pusat titik berat partisi dan khusus soal ini kita bisa hitung luas partisi tersebut.
![]() |
| Gambar 1 |
Kita bisa menentukan letak titik berat pada gambar 1 titik beratnya adalah titik p dan bisa kita tentukan letak titik beratnya adalah
![]() |
| Gambar 2 |
Kita bisa menentukan letak titik berat pada gambar 2 titik beratnya adalah titik p dan bisa kita tentukan letak titik beratnya adalah
Selanjutnya bisa kita hitung koordinat titik berat soal nomor satu pada sumbu x dengan mengunakan persamaan
Posisi koordinat pada sumbu x adalah
Selanjutnya bisa kita hitung koordinat titik berat soal nomor satu pada sumbu y dengan mengunakan persamaan
Posisi koordinat pada sumbu y adalah
Nilai koordinat titik beratnya adalah
2. Terdapat bidang berwarna kuning seperti gambar di bawah ini, terlihat bidang berwarna kuning yang memiliki lubang berwarna putih lingkaran berdiameter 1cm. Letak titik koordinat titik berat bidang berwarna kuning ini adalah ?
Jawab
Langkah pertama kita bisa tentukan terlebih dahulu pusat titik berat bidang berwarna kuning dengan kita anggap bidangnya masih utuh berupa persegi belum terpotong atau belum terlubangi bentuk lingkaran berwarna putih. pusat titik beratnya adalah
Kemudian kita tentukan titik berat bidang dua yaitu bidang lingkaran berwarna putih yang hilang yaitu
Kemudian kita bisa hitung koor dinat titik berat bidang persegi terpotong lingkaran pada sumbu x seperti pada persamaan di bawah ini
Bidang dua yang merupakan bidang lingkaran yang hilang dalam bidang persegi bertanda negatif karena merupakan unsur yang hilang dari bidang persegi berwarna kuning
Koordinat titik berat pada sumbu x adalah
Dengan cara yang sama kita bisa menentukan koordinat titik berat pada sumbu y
Maka nilai koordinat titik beratnya adalah
3. Terdapat bidang berwarna unggu seperti gambar di bawah ini. Koordinat titik beratnya adalah ?
Jawab
Sama seperti soal nomor 1 untuk lebih mudah kita harus mempartisi dulu bidang soal nomor 3 menjadi dua bagian, bidang yang pertama adalah bidang segi tiga, dan bidang yang kedua adalah bidang persegi panjang, kemudian bisa kita tentukan koordinat masing-masing partisi.
![]() |
| Gambar Bidang Pertama |
![]() |
| Gambar Bidang Kedua |
Koordinat titik berat bidang partisi kedua adalah
Koordinat titik berat pada sumbu x adalah
Koordinat titik berat pada sumbu y adalah
Koordinat titik berat bidang pada soal nomor 3 adalah
4. Sebuah benda pejal yang terdiri dari gabungan kerucut pejal dan silinder pejal tersusun seperti pada gambar di bawah ini. Besar jari-jari silinder adalah 2 cm, tinggi kerucut dan silinder adalah 4 cm. Titik berat benda tersebut adalah ?
Jawab
Kita bisa analisa titik berat pada kerucut pejal seperti terdeskripsikan pada gambar di bawah ini. Titik berat untuk kerucut pejal adalah seperempat tinggi kerucut pejal dari alas kerucut
Titik berat kerucut pejal ini adalah
Sedangkan untuk titik berat silinder pejal karena bentuknya yang simetris dan homogen, maka titik berat silinder pejal terletak di tengah-tengah silinder dengan koordinat titik berat silinder adalah
Selanjutnya bisa kita hitung koordinat titik berat pada sumbu x adalah sebagai berikut
Persamaan diatas yang dipakai untuk menghitung nilai koordinat titik berat pada sumbu x sama dengan soal nomor satu, hanya karena pada soal ini kita menghitung benda tiga dimensi maka besaran luas A diganti dengan besaran volume V.
Selanjutnya bisa kita hitung koordinat titik berat pada sumbu y adalah sebagai berikut
Karena besar jari-jari silinder dan kerucut sama
Maka persamaan bisa lebih di sederhanakan menjadi
Koordinat titik berat benda ini adalah


























































Kalau titik berat bidang lingkaran bisa nggak ?
BalasHapus